加入收藏
本站
站群
首页
首页
政务资讯
政府信息公开
规章制度
在线办事
互动交流
政策解读
当前位置:
首页
>
政务资讯
>
专题专栏
>
宿州市工程造价
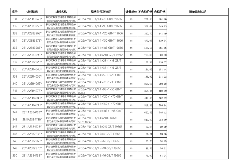
1.2025年7月基础清单
发布日期:2025-11-12 09:27
编辑:住建局
来源:宿州市住房和城乡建设局
【字号:
大
中
小
】
阅读:
次
打印本页
智能问答
宿事速办
微信
微博
分享